Show newer

RT @ClintEhrlich
Lithuania isn't blockading Kaliningrad.

America is blockading Kaliningrad – one of Russia's major cities – using Lithuania as its proxy.

It's a feckless gesture that pushes us one step closer to nuclear war with Russia. For what?

RT @KawsachunNews
The Ecuadorian state looks to be at war with the people.

RT @camilapress
Ecuador's regime is at war with its own citizens. Media and reporters would condemn every bit of this if these scenes came out of a country with a socialist government.

RT @Reuters
Ukraine to restrict Russian books, music in latest cultural break from Moscow reut.rs/3xDTV2f

RT @PiqueCritique
, das Flaggschiff westlicher Freiheit. 🤮
"Die 100 Millionen Bücher, die konfisziert werden sollen, entsprechen der Hälfte der Bibliotheksbestände, und sie sollen 'schrittweise ersetzt werden'".
Ukraine: Regierung plant umfangreiches Bücherverbot wsws.org/de/articles/2022/06/1

RT @wenig_worte
Sehr gut reagiert von gegenüber einer , der man beim "Denken" zuschauen konnte: die Todeszahlen jetzt durch Omikron sind kleiner als früher, also ist das nicht "so gravierend", verglichen mit ausfallenden Flügen.

RT @redexec1
Die deutsche Verachtung für Pazifismus hat lange Tradition.

"Das ganze Volk steht Hand in Hand" | heise online
heise.de/-7145142

RT @AFP
Russia vows 'serious' consequences over Lithuania rail transit ban

RT @EnemyInAState
As expected: another study that shows MORE SEVERE DISEASE IF REINFECTED: The exact opposite of what herd immunity dim wits have been telling us for over 2 years now! twitter.com/yaneerbaryam/statu

RT @mildanalyst
Vertical new ICU admissions in Israel

On a log chart. Just saying.

RT @BenjaminNorton
Ukraine's Western puppet regime is reassuring the world that it's definitely not fascist by... banning Russian books and music.

Ukraine already prohibited all socialist and communist parties.

Now it's expanding its far-right "decommunization" into a fascistic "derussification" twitter.com/Reuters/status/153

RT @Dragonvibee
Since Julian Assange is being extradited, I'm posting a thread of few clips where he exposed the brutal war crimes of US military in Iraq.

1: American gunship helicopter opening fire on Iraqi civilians as American soldiers laugh behind.

+

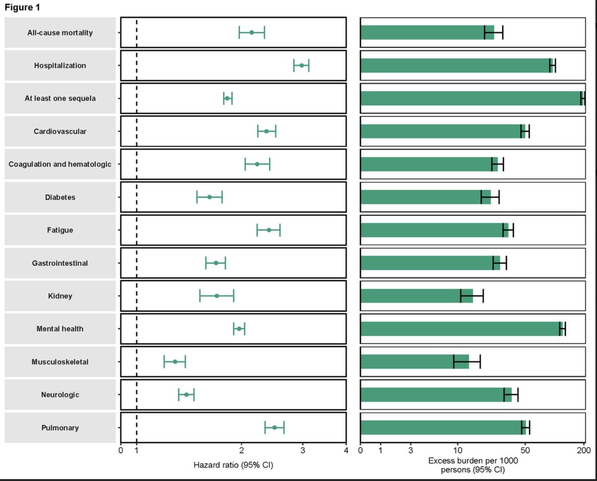
RT @yaneerbaryam
Extremely important paper on: Outcomes of Covid Reinfection

Compared to those with first infection, reinfection led to increased risk at 6 months of: mortality by 2.38%, hospitalization 9.5% and post covid medical events 19.6%.

1/
researchsquare.com/article/rs-

RT @RWittenbrink
In der letzten Woche haben uns neue Studien gezeigt, dass auch bei Infektionen hinsichtlich der menschlichen Immunantwort der Effekt der Antigenerbsünde (antigenic sin) zu beobachten ist, also nur eine abgeschwächte Immunreaktion erzeugt wird.🧵


RT @fitterhappierAJ
You all need to understand this.

The paper not only shows SARS Cov 2 mutating away from immunity

But also old infections holding immunity back-

immunity is worse off following another infection because of that earlier infection
theguardian.com/world/2022/jun

RT @iamabayorr
Leaked Hillary Clinton Emails Revealed NATO Killed Gaddafi to Stop the formation of a United States of Africa.

Thread 🧵

RT @pelagicbird
Bei den COVID-Fällen im Mai (1.5.-31.5.) sind in Portugal bei Ü-80J 10% der Ungeimpften (oder nur 1 Dosis) verstorben, 5% der mit 2 Dosen Geimpften, 1,7% der Geboosterten und 0% der 2x Geboosterten.
insa.min-saude.pt/wp-content/u

RT @DFisman
This is an amazing figure. Countries that aimed for covid elimination actually had LOWER stringency of pandemic control over much of the pandemic.

In other words, when governments try harder, life is MORE normal, not less (bottom panel)

Show older
Qoto Mastodon

QOTO: Question Others to Teach Ourselves
An inclusive, Academic Freedom, instance
All cultures welcome.
Hate speech and harassment strictly forbidden.