Show newer

RT @EuromaidanPress
Lithuania reacted to The State Duma of RF suggesting to cancel The Independence of Lithuania

🇱🇹Foreign Minister said that Russia is ruled by beasts because "only such a country could start a war in Ukraine", "We are ready to defend ourselves," he said.
lrt.lt/ru/novosti/17/1715107/l

KREYREN :verified: boosted

RT @SpoluKoalice: SPOLU jste ve volbám zvolili premiéra, který podporuje Ukrajinu v boji o svobodu a nezávislost.

Děkujeme!

🐦🔗: nitter.eu/TomasZdechovsky/stat

RT @wallstreetpro
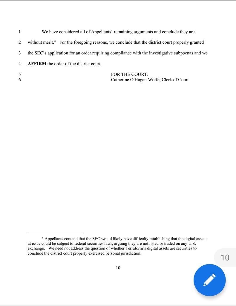
🚨 BREAKING: Do Kwon, the founder of collapsed () ecosystem, has lost an appeal attempting to block the honouring of subpoenas by the over an ongoing investigation into the Mirror Protocol. The U.S. Second Circuit rejected the appeal in favor of SEC.

RT @S3b4st14nP
@visegrad24 @Bundeskanzler @Bundestag you are a shame for all Europe, NATO and the West. Vote of no confidence is long due. @EUCouncil @EUparliament @NATO

RT @CT24zive
Reprodukční číslo opět překonalo hodnotu 1. Šíření covidu-19 v Česku po dlouhém poklesu znovu zrychluje. Ve středu laboratoře odhalily zhruba čtyři stovky nových případů.

ct24.ceskatelevize.cz/domaci/3

RT @bradyafr
Two of the Russian Su-30s in this video were flying over Saki Naval Air Station (Novofedorivka) in Crimea (45.094, 33.609). twitter.com/RALee85/status/153

RT @GirkinGirkin
🚮

Уничтожен уроженец г. Котельниково, Герой Российской Федерации подполковник Герасимов Вадим Сергеевич.
... командовал батальоном в Ленинградской области.

Проститься в 11:00 в Центре досуга и кино.

RT @PiratskaStrana
Na ministerstvu zahraničí makáme! Náš ministr @JanLipavsky dělá pro Českou republiku správné věci!

RT @kreyren
@visegrad24 Hey finland, your turn for ukraine support

@MarinSanna

RT @Andavonwald
@Bundeskanzler @republica @lindazervakis

RT @kreyren
@Bundeskanzler @republica @lindazervakis None gives a shit about your internet, german government failed to deliver on high speed internet for the whole country until 2017 and is now failing at providing the promised weapons to ukraine

go fuck yourself incompetent Putinversteher🖕

RT @DMokryk
When 🇩🇪@OlafScholz's team provides yet another promise of weapons for Ukraine instead of providing actual weapons, it helps 🇷🇺 and hurts 🇺🇦.

It intentionally creates an ILLUSION that 🇺🇦 receives weapons. It decreases the pressure and the sense of urgency. It costs lives.

RT @u24_news
Better then spy satellites.
🇺🇦🇺🇦🇺🇦 's military used @tiktok to track down and destroy the positions of 👹☠️ Wagner mercenaries.


RT @lxglb
A court in Donetsk has sentenced three two British and one Moroccan volunteers to DEATH. Mind you, these guys have SURRENDERED. It's absolutely insane...

RT @vitnovotny
.@EU_Eurostat publishes first data on registrations for temporary protection of Ukrainians in the EU, covering March 2022 and, partly, April. Notably, 'data collection is carried out on a voluntary basis, so the completeness of the data may vary'. 1/2 twitter.com/EU_Eurostat/status

RT @u24_news
🗣️😆"Putin is a d***head! Lavrov is a b**ch!" Activists in Yerevan, , chant not-so-welcoming messages at a rally protesting the visit of Russian foreign minister Sergey .

RT @visegrad24
Russian police has arrested the Orthodox priest Ioann Kurmoyarov for spreading “fake news” about the war.

In March, he recorded a video in which he explained why those who planned the invasion, and the Russian soldiers fighting in Ukraine, will all go to hell after they die.

RT @IAPonomarenko
Wow, Polish-made 155-mm Krabs have already been prepared for combat missions.
Now Ukraine has over 150 various 155-mm pieces.

RT @lxglb
This is a new Russian McDonald's logo design, as OG McDonald's temporarily sold its franchise. And good Lord, its ugly.

Owner described that "circle represents a burger, and sticks represent fries". Amazing 👏

Show older
Qoto Mastodon

QOTO: Question Others to Teach Ourselves
An inclusive, Academic Freedom, instance
All cultures welcome.
Hate speech and harassment strictly forbidden.