@nwerneck
Its also possible that the batches are produced sequentially, so you think you are showing how number of reports correlate to different batches where in reality its just showing how the number of reports changed over time and is unrelated to thr batches at all
@nwerneck I'm curious what the implications of this might be... I can think of tons of hypothesis some harmless some concerning. For example if batches are not uniformly distributed geographically, but rather certain batches go to certain regions, then it may just represent reporting habits in a region and not really indicate anything about the quality of the batches themselves. Could also be that fear of vaccine side effects might be greater in certain regions. Of course there is the most obvious interpretation that a specific batch may have been processed differently than others.
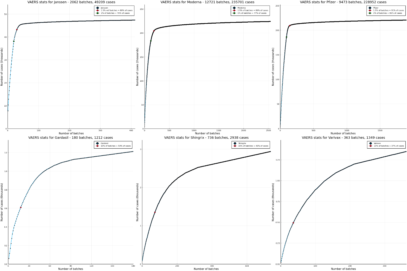
All the distributions seem to be well fitted by a Pareto distribution, although even in that case, and with more extreme values, the coof shots have a lot of extreme values that look like outliers
Data analysis inspired on Mike Yeadon's latest presentation for the Corona Investigative Committee. https://odysee.com/@Corona-Investigative-Committee:5/Mike-Session-86-en:0
All data from the 2021 VAERS database. We look at plots from the 6 most reported named vaccines. The covid jabs are much more reported than the next 3.
The plots show that few batches from the Covid jabs are responsible for the vast majority of cases: 1% of batches generate more than 75% of the reports.
For the other 3 shots the distribution is much smoother, we have 10% of the batches responsible for at most 50% of reports.
@louisrcouture Well then that problem solved itself :)
@louisrcouture i wouldnt loose any sleep if they were blocked, presuming the accusation is true. My only concern is I would want to verify the claim myself rather than take a moderator's word for it from another instance.
@freemo
I was going to use the formula "break a leg", but... I'll just wish you good luck.
@mc Probably a good idea :)
@matrix It may not be legal advice, but it is the correct advice.
Tomorrows dive is going to be 130 feet / 40 meters, air back gas, with 100% and 50% pony deco gases, no travel gas. Going to shoot for about 15 minute bottom time. First deco dive in years and its actually the anniversary of the day i got my full trimix certification. So very important day for me.
Here is the video of yesterdays dive with the **giant** Hawksbill sea turtle at 0:30 and again at 8:00 (the 8:00 is more interesting so watch it all the way through). If there is one video you check out it should be this one, I very rarely see sea turtles anywhere near this size, he must be close to 100 years old.
Video: https://video.qoto.org/videos/watch/8d0a91f0-e1f1-40ef-bdf7-c9634ba93e05
Dive stats:
https://connect.garmin.com/modern/activity/8086147899
#SCUBA #Dive #Diving #Egypt #SharmElSheikh #MiddleEast #Turtle #seaturtle
QT: https://video.qoto.org/videos/watch/8d0a91f0-e1f1-40ef-bdf7-c9634ba93e05
You can take a regular commercial flight out here. Underwater time is a little over an hour in these videos.
@freeschool Thanks I am happy you are enjoying it, its why I do it. And yea with the slow internet it is absolutely an achievement getting these up. The video is a 10 hour upload and makes it so i cant use the internet so i let it upload as I sleep.
@freeschool Yup it was as big as a person, and yes thats a tail. I just posted the video check it out. In the video you can see the turtle next to two divers to get a sense of how massive he is.
Jeffrey Phillips Freeman
Innovator & Entrepreneur in Machine Learning, Evolutionary Computing & Big Data. Avid SCUBA diver, Open-source developer, HAM radio operator, astrophotographer, and anything nerdy.
Born and raised in Philadelphia, PA, USA, currently living in Utrecht, Netherlands, USA, and Thailand. Was also living in Israel, but left.
Pronouns: Sir / Mister
(Above pronouns are not intended to mock, i will respect any persons pronouns and only wish pronouns to show respect be used with me as well. These are called neopronouns, see an example of the word "frog" used as a neopronoun here: http://tinyurl.com/44hhej89 )
A proud member of the Penobscot Native American tribe, as well as a Mayflower passenger descendant. I sometimes post about my genealogical history.
My stance on various issues:
Education: Free to PhD, tax paid
Abortion: Protected, tax paid, limited time-frame
Welfare: Yes, no one should starve
UBI: No, use welfare
Racism: is real
Guns: Shall not be infringed
LGBT+/minorities: Support
Pronouns: Will respect
Trump: Moron, evil
Biden: Senile, racist
Police: ACAB
Drugs: Fully legal, no prescriptions needed
GPG/PGP Fingerprint: 8B23 64CD 2403 6DCB 7531 01D0 052D DA8E 0506 CBCE